Việc xác định giá mặt bằng cho thuê là bước quan trọng giúp chủ sở hữu và nhà đầu tư đưa ra mức giá hợp lý, đảm bảo lợi nhuận và thu hút khách thuê. Bài viết này sẽ hướng dẫn bạn cách xác định giá trị mặt bằng cho thuê theo khu vực dựa trên vị trí, diện tích, loại hình kinh doanh, và các yếu tố thị trường. Cùng Mogi tìm hiểu ngay nhé!
Hiểu đúng về giá trị mặt bằng cho thuê
Giá trị mặt bằng cho thuê là giá trị thực tế của một mặt bằng trên thị trường. Giá trị này phản ánh các yếu tố như vị trí địa lý, diện tích sử dụng, tiềm năng kinh doanh và khả năng sinh lời. Đây là căn cứ quan trọng để xác định mức giá thuê hợp lý.
Cần phân biệt giữa “giá trị mặt bằng” và “giá thuê” giúp tránh nhầm lẫn trong quá trình đàm phán, cụ thể:
- Giá trị mặt bằng được xác định bởi các yếu tố khách quan (vị trí, diện tích, thị trường…) là cơ sở định giá, thể hiện tiềm năng và sức hấp dẫn của bất động sản.
- Giá thuê là kết quả cuối cùng sau khi đàm phán giữa bên cho thuê và bên thuê, có thể cao hoặc thấp hơn giá trị thực tùy tình hình thị trường.
Để hiểu rõ hơn về giá trị mặt bằng, hãy xem xét ví dụ sau:
Bạn đang có ý định thuê một mặt bằng có diện tích khoảng 50m² tại TPHCM để mở quán cà phê. Có 2 mặt bằng phù hợp sau:
- Mặt bằng A: Nằm ngay mặt tiền đường Nguyễn Huệ (trước sáp nhập thuộc Phường Bến Nghé, nay thuộc Phường Sài Gòn), khu vực trung tâm phố đi bộ, lưu lượng người qua lại cực kỳ đông đúc cả ngày lẫn đêm.
- Mặt bằng B: Nằm trong hẻm cụt ở Phường Tăng Nhơn Phú (trước sáp nhập là Phường Tăng Nhơn Phú A, Thành phố Thủ Đức), ít người qua lại, chủ yếu là dân cư sống trong hẻm.
Mặc dù cả 2 mặt bằng đều có diện tích 50m² nhưng mặt bằng A có giá trị mặt bằng cao hơn rất nhiều so với mặt bằng B vì vị trí đắc địa, tiềm năng kinh doanh (lượng khách vãng lai) vượt trội.

Xem thêm: Cho thuê mặt bằng dịch vụ cá nhân vs bán lẻ: Phân tích và so sánh
Các công thức tính giá thuê mặt bằng phổ biến
Để áp dụng cách xác định giá trị mặt bằng cho thuê theo khu vực hiệu quả, việc ứng dụng các công thức tính phù hợp với từng loại hình và quy mô bất động sản là rất quan trọng. Dưới đây là hai cách tính phổ biến giúp chủ sở hữu ước lượng mức giá hợp lý, dễ thương lượng trên thị trường.
Tính giá thuê theo diện tích
Công thức tính:
- Giá thuê theo tháng = Giá thuê trung bình/m² x Diện tích cho thuê
- Giá thuê theo năm = Giá thuê tháng x 12
Để hiểu rõ hơn về cách tính, hãy tham khảo ví dụ sau: Nếu giá thuê mặt bằng trung bình tại khu vực là 1 triệu đồng/m²/tháng và diện tích cho thuê là 50m², cách tính giá thuê như sau:
- Giá thuê theo tháng: 1 triệu đồng/m²/tháng x 50m² = 50 triệu đồng/tháng
- Giá thuê theo năm: 50 triệu đồng/tháng x 12 tháng = 600 triệu đồng/năm
Phương pháp này được sử dụng phổ biến cho mặt bằng nhỏ, nhà phố thương mại hoặc nhà riêng cho thuê.
Tính giá thuê theo giá trị bất động sản
Công thức tính:
- Giá thuê theo năm = Giá trị bất động sản x Tỷ suất lợi nhuận mong muốn
- Giá thuê theo tháng = Giá thuê năm / 12
Ví dụ: Một bất động sản trị giá 15 tỷ đồng, lợi nhuận kỳ vọng là 6%/năm, vậy giá thuê sẽ được tính như sau:
- Giá thuê theo năm: 15 tỷ đồng x 6% = 900 triệu đồng/năm
- Giá thuê theo tháng: 900 triệu đồng/năm / 12 = 75 triệu đồng/tháng
Cách tính này thường được áp dụng cho mặt bằng có giá trị lớn như văn phòng, trung tâm thương mại hoặc tòa nhà. Bên cạnh đó, những mặt bằng có vị trí đắc địa cũng thường sử dụng phương pháp này vì giúp phản ánh sát hơn khả năng sinh lời của tài sản.

Các yếu tố ảnh hưởng đến giá trị mặt bằng cho thuê
Khi thực hiện cách xác định giá trị mặt bằng cho thuê theo khu vực, việc nắm rõ các yếu tố tác động đến giá trị bất động sản là vô cùng quan trọng. Những yếu tố dưới đây sẽ giúp bạn hiểu rõ vì sao cùng một diện tích, nhưng giá thuê ở mỗi khu vực lại có sự chênh lệch đáng kể.
Vị trí khu vực
Vị trí là yếu tố then chốt quyết định đến giá trị mặt bằng cho thuê, chiếm tỷ trọng lớn nhất trong quá trình định giá. Ví dụ như một mặt bằng nằm trên các tuyến đường lớn như Nguyễn Huệ, Đồng Khởi (TP.HCM) hay Phố Huế, Hàng Bông (Hà Nội) có thể cao gấp 3 – 5 lần so với mặt bằng có cùng diện tích ở khu vực ngoại thành. Nguyên nhân là bởi các khu vực trung tâm sẽ có giao thông thuận tiện, lưu lượng khách hàng cao, mật độ kinh doanh dày đặc và khả năng sinh lời tốt hơn.
Do đó, khi thực hiện cách xác định giá trị mặt bằng cho thuê theo khu vực, việc đánh giá chính xác vị trí mặt bằng, bao gồm mức độ gần trung tâm, khả năng tiếp cận khách hàng, tiềm năng phát triển kinh doanh và quy hoạch hạ tầng xung quanh,… là bước không thể bỏ qua.
Diện tích và hình dạng mặt bằng
Diện tích và hình dạng mặt bằng cũng là hai yếu tố quan trọng ảnh hưởng trực tiếp đến giá trị cho thuê. Thông thường, mặt bằng có diện tích vuông vức, mặt tiền rộng, chiều sâu hợp lý sẽ dễ bố trí không gian kinh doanh và thu hút khách hàng hơn, từ đó giá trị cho thuê cũng cao hơn so với các mặt bằng méo hoặc hẹp.
Chẳng hạn, cùng nằm trên một tuyến phố thương mại, một mặt bằng rộng 6m, sâu 10m thường được thuê với giá cao hơn so với mặt bằng rộng 3m và sâu 20m mặc dù tổng diện tích của 2 mặt bằng tương đương nhau. Sự khác biệt này xuất phát từ khả năng trưng bày hàng hóa, tạo tầm nhìn và tối ưu công năng sử dụng.

Vì vậy, khi áp dụng cách xác định giá trị mặt bằng cho thuê theo khu vực, cần xem xét kỹ sự phù hợp giữa diện tích, hình dạng mặt bằng và loại hình kinh doanh. Một không gian đẹp, dễ thiết kế và tối ưu hóa hoạt động thường có tiềm năng khai thác và giá trị cao hơn đáng kể.
Xem thêm: Xu hướng thuê mặt bằng kinh doanh trong hẻm: Giải mã nguyên nhân
Loại hình và tiện ích đi kèm
Mỗi loại hình mặt bằng như văn phòng, quán cà phê, nhà hàng hay shophouse,… sẽ có yêu cầu khác nhau về vị trí, diện tích và công năng sử dụng, kéo theo mức giá thuê khác nhau.
Bên cạnh loại hình, tiện ích đi kèm cũng cũng ảnh hưởng lớn đến giá trị và sức hấp dẫn của mặt bằng cho thuê. Mặt bằng có sẵn tiện ích hỗ trợ tốt như chỗ để xe rộng, thang máy, máy lạnh, hệ thống chiếu sáng, nhà vệ sinh riêng hoặc kho chứa hàng,… sẽ dễ cho thuê hơn và có khả năng sinh lời ổn định hơn các mặt bằng có ít tiện ích đi kèm.
Tình trạng mặt bằng & cơ sở hạ tầng
Khi áp dụng cách xác định giá trị mặt bằng cho thuê theo khu vực, chủ sở hữu không chỉ đánh giá dựa trên diện tích và vị trí, mà còn phải xem xét tình trạng thực tế của mặt bằng và mức độ phát triển hạ tầng khu vực. Đây là yếu tố quan trọng giúp định giá chính xác và tối ưu lợi nhuận cho thuê.
Một mặt bằng mới xây hoặc mới được cải tạo lại thường có thể tăng 10–20% giá thuê so với mặt bằng cũ, xuống cấp hoặc cần sửa chữa trước khi sử dụng. Ngoài ra, mặt bằng nằm trong khu vực có hạ tầng hoàn chỉnh, đường giao thông thuận tiện, gần các tuyến chính hoặc trung tâm thương mại,… cũng sẽ được định giá cao hơn đáng kể so với những vị trí xa trung tâm hoặc thiếu tiện ích kết nối.

Cách xác định giá trị mặt bằng cho thuê theo khu vực
Để đưa ra mức giá thuê hợp lý, chủ sở hữu cần dựa trên nhiều yếu tố thực tế thay vì ước lượng cảm tính. Việc áp dụng đúng cách xác định giá trị mặt bằng cho thuê theo khu vực sẽ giúp định giá chính xác, đảm bảo hiệu quả đầu tư và dễ thu hút khách thuê.
Xác định mục tiêu cho thuê
Trước khi định giá, cần làm rõ mục tiêu cho thuê của bạn là gì. Bạn hãy tự đặt ra các câu hỏi: Muốn đạt mức lợi nhuận bao nhiêu, mức giá chấp nhận thấp nhất là bao nhiêu và đối tượng khách hàng mục tiêu là ai, cho thuê dài hạn hay ngắn hạn,… Từ những tiêu chí này, bạn có thể xác định được mức giá cho thuê phù hợp nhất với mong muốn của bản thân, đồng thời đảm bảo tính cạnh tranh và thu hút được nhóm khách hàng mục tiêu trên thị trường.
Nghiên cứu thị trường
Nghiên cứu thị trường là bước quan trọng trong cách xác định giá trị mặt bằng cho thuê theo khu vực, giúp bạn nắm bắt được mức giá thực tế và xu hướng biến động tại từng địa điểm. Việc khảo sát kỹ càng sẽ giúp chủ sở hữu tránh tình trạng định giá quá cao khiến khó cho thuê hoặc định giá thấp làm giảm lợi nhuận.
Bạn có thể tham khảo giá thuê thực tế trên các nền tảng uy tín như Mogi.vn, Muaban.net, Batdongsan.com.vn,… hoặc qua các báo cáo thị trường uy tín. Ngoài ra, bạn cũng nên so sánh các mặt bằng có vị trí, diện tích và loại hình tương tự trong cùng khu vực để xác định mức giá trung bình và biên độ chênh lệch hợp lý.
Bên cạnh đó, đừng quên cập nhật thông tin quy hoạch của khu vực, kế hoạch mở rộng hạ tầng hoặc sự xuất hiện của các trung tâm thương mại mới,… Bởi vì đây chính là những yếu tố có thể tác động mạnh đến giá trị cho thuê mặt bằng trong tương lai. Một tầm nhìn thị trường tốt sẽ giúp bạn đưa ra mức giá linh hoạt, đúng xu hướng và dễ dàng thu hút khách thuê tiềm năng.

Xem thêm: Cách đăng tin cho thuê mặt bằng cửa hàng nhỏ hiệu quả, có người thuê ngay
Tính toán chi phí vận hành
Một bước không thể bỏ qua trong cách xác định giá trị mặt bằng cho thuê theo khu vực là tính toán chi phí vận hành một cách chi tiết và thực tế. Đây là cơ sở giúp bạn đảm bảo mức giá đưa ra vừa đủ bù đắp chi phí, vừa đạt được lợi nhuận kỳ vọng.
Các khoản chi phí cần xem xét bao gồm thuế, phí bảo trì, tiền điện nước, chi phí quản lý, bảo hiểm tài sản, chi phí vệ sinh, bảo vệ và cả chi phí khấu hao nội thất hoặc trang thiết bị (nếu có). Với những mặt bằng cho thuê có quy mô lớn như văn phòng, tòa nhà hoặc trung tâm thương mại, chi phí vận hành thường chiếm tỷ trọng đáng kể, nên cần được hạch toán chi tiết để tránh thất thoát.
Sử dụng phương pháp định giá chuyên nghiệp
Khi áp dụng cách xác định giá trị mặt bằng cho thuê theo khu vực, việc sử dụng các phương pháp định giá chuyên nghiệp sẽ cho ra kết quả chính xác và đáng tin cậy hơn. Đặc biệt đối với những bất động sản có giá trị lớn hoặc mang tính đầu tư lâu dài. Một số phương pháp phổ biến gồm:
- Phương pháp so sánh thị trường
Định giá dựa trên việc phân tích và đối chiếu mức giá của các bất động sản tương tự với bất động sản cần định giá đã giao dịch thành công hoặc đang mua bán trên thị trường vào thời điểm định giá hoặc trong khoảng thời gian gần đó. Phương pháp này thường được áp dụng cho các loại bất động sản có tính phổ biến, có nhiều giao dịch mua bán và cho thuê trên thị trường, giúp đảm bảo tính khách quan và phản ánh đúng xu hướng giá thực tế.
Các bước thẩm định giá bất động sản theo phương pháp so sánh:
- Bước 1: Tìm kiếm và lựa chọn các bất động sản tương tự đã hoặc đang giao dịch trên thị trường trong thời gian gần nhất. Thu thập đầy đủ thông tin về đặc điểm vật chất, pháp lý, vị trí, thời gian giao dịch và điều kiện mua bán của các tài sản này.
- Bước 2: Kiểm tra, đánh giá độ tin cậy và tính tương đồng của các giao dịch thu thập được. Sau đó, quy đổi giá về đơn vị chuẩn (như giá/m², giá/mét dài mặt tiền, giá/căn hộ,…) để thuận tiện cho việc so sánh.
- Bước 3: So sánh từng yếu tố giữa tài sản cần định giá và tài sản so sánh, thực hiện điều chỉnh tăng hoặc giảm giá dựa trên sự khác biệt về vị trí, pháp lý, diện tích, tiện ích, điều kiện giao dịch… Mức điều chỉnh thường tính theo tỷ lệ %.
- Bước 4: Tổng hợp kết quả điều chỉnh của 3-5 bất động sản so sánh để ước tính giá trị thị trường hợp lý của bất động sản cần thẩm định.
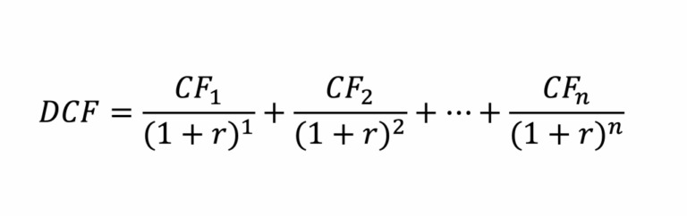
- Phương pháp chiết khấu dòng tiền (DCF)
Phương pháp này dựa trên dòng tiền tự do mà mặt bằng cho thuê dự kiến tạo ra trong tương lai, sau đó sử dụng chi phí vốn bình quân WACC (chỉ số tài chính phản ánh chi phí sử dụng vốn bình quân sau thuế mà doanh nghiệp phải chịu để huy động các nguồn vốn) để quy đổi tất cả các dòng tiền tương lai đó về giá trị hiện tại. Chiết khấu dòng tiền (DCF) tập trung vào việc xác định giá trị nội tại của tài sản dựa trên khả năng tạo ra dòng tiền trong tương lai, thay vì phụ thuộc vào biến động giá thị trường hay tâm lý nhà đầu tư.
Công thức tính:

Trong đó:
- Dòng tiền CF = Dòng tiền trong kỳ n, thể hiện các khoản thanh toán tiền thuê mặt bằng trong một thời gian nhất định.
- r = lãi suất chiết khấu dựa trên mức độ rủi ro của dòng tiền, là tỷ lệ lợi nhuận mà các nhà đầu tư đạt được từ việc thuê mặt bằng. Xác định r bằng chi phí vốn bình quân doanh nghiệp WACC.
- n = số kỳ/tuổi thọ của tài sản, là năm, quý, tháng các khoảng thời gian bằng nhau, nếu khác sau được quy đổi thành số thập phân.
- Phương pháp tỷ suất lợi nhuận
Tỷ suất lợi nhuận phản ánh tổng thu nhập thực tế mà nhà đầu tư thu được hằng năm từ hoạt động cho thuê bất động sản, so với số vốn đã bỏ ra để mua và vận hành tài sản. Chỉ số này giúp đánh giá nhanh hiệu quả đầu tư, tiềm năng sinh lời của bất động sản. Tỷ suất sinh lời càng cao chứng tỏ khả năng tạo dòng tiền và giá trị đầu tư càng tốt, là cơ sở quan trọng để nhà đầu tư ra quyết định mua, giữ hay bán bất động sản.
Công thức tính tỷ suất sinh lời của bất động sản cho thuê gồm hai loại chính: Tỷ suất lợi nhuận ròng (là tỷ số lợi nhuận thu được trên tổng doanh thu trong kỳ) và tỷ suất lợi nhuận gộp (là chỉ số được sử dụng để đánh giá khả năng sinh lời của doanh nghiệp trong khoảng thời gian nhất định):
- Tỷ suất lợi nhuận ròng = (Tổng thu nhập cho thuê hàng năm – Tổng chi phí vận hành hàng năm) / Giá trị bất động sản x 100%.
Ví dụ: Nếu mặt bằng được mua với giá 3 tỷ, thu nhập cho thuê hàng năm là 240 triệu và tổng chi phí vận hành là 60 triệu, thì tỷ suất ròng là (240 triệu – 60 triệu) / 3 tỷ x 100% = 6%. - Tỷ suất lợi nhuận gộp = (Tổng tiền cho thuê trong 1 năm / Giá trị bất động sản) x 100%.
Ví dụ: Nếu mặt bằng cho thuê được 240 triệu/năm và giá trị bất động sản là 3 tỷ, thì tỷ suất gộp là (240 triệu / 3 tỷ) x 100% = 8%.

Kinh nghiệm đàm phán và điều chỉnh giá thuê
Trước khi bước vào đàm phán, chủ sở hữu cần nắm rõ giá trị thực tế của mặt bằng, lý do đưa ra mức giá thuê đó, đồng thời có dữ liệu minh chứng như giá thuê chung tại khu vực, lưu lượng khách hàng hay báo cáo thị trường. Sự chuẩn bị kỹ lưỡng giúp tăng tính thuyết phục và tạo cơ sở vững chắc khi thương lượng giá cả với khách thuê.
Khi thương lượng, nên dựa vào giá trị thực tế của mặt bằng và nhu cầu của khách thuê để đưa ra mức giá phù hợp. Tránh đặt giá quá cao vì có thể dẫn đến việc khó cho thuê, hoặc quá thấp khiến mất lợi nhuận tiềm năng. Việc đưa ra mức giá linh hoạt và biết lắng nghe nhu cầu của bên thuê sẽ giúp cả hai bên đạt được thỏa thuận hài hòa.

Ngoài ra, giá thuê không nên cố định lâu dài mà cần được rà soát định kỳ từ 6 – 12 tháng/lần. Đồng thời, bạn cũng cần cập nhật biến động cung cầu, quy hoạch mới, dự án hạ tầng mở rộng,… từ đó điều chỉnh giá thuê phù hợp để duy trì tính cạnh tranh và tối ưu lợi nhuận.
Chắc hẳn qua bài viết này, bạn đã nắm được cách xác định giá trị mặt bằng cho thuê theo khu vực cùng các công thức tính giá thuê phổ biến và kinh nghiệm đàm phán để đưa ra mức giá hợp lý, thu hút khách thuê và tối đa hóa lợi nhuận từ bất động sản. Để tham khảo giá thuê mặt bằng thực tế tại các tỉnh thành trên cả nước và cập nhật những thông tin mới nhất thị trường bất động sản, hãy truy cập Mogi.vn ngay hôm nay nhé!
Nguồn tham khảo: Connect Land, Cafeland, Thẩm định giá Đồng Nai, Misa MeInvoice
Xem thêm bài viết liên quan:
- Đăng tin cho thuê mặt bằng F&B hiệu quả: Bí quyết và quy tắc
- Chiến lược giữ khách thuê mặt bằng F&B dài hạn chủ đầu tư nên biết
- Mẹo đăng tin cho thuê mặt bằng quán ăn hiệu quả, nhanh chóng
Câu hỏi thường gặp
Cần phân biệt rõ giữa “Giá trị mặt bằng” và “Giá thuê” như thế nào?
– Giá trị mặt bằng được xác định bởi các yếu tố khách quan như vị trí, diện tích và tiềm năng sinh lời, là căn cứ định giá thể hiện sức hấp dẫn của BĐS.
– Giá thuê là kết quả cuối cùng của đàm phán giữa hai bên và có thể cao hoặc thấp hơn giá trị thực tế, tùy thuộc vào tình hình thị trường tại thời điểm giao dịch.
Phương pháp So sánh thị trường thường được áp dụng cho các loại BĐS có đặc điểm nào?
– Tính phổ biến cao: Là loại BĐS phổ biến trên thị trường.
– Có nhiều giao dịch: Có nhiều giao dịch mua bán và cho thuê diễn ra trên thị trường.
Mục đích của việc tính toán chi phí vận hành trước khi định giá là gì?
– Đảm bảo bù đắp chi phí.
– Đạt lợi nhuận kỳ vọng.
– Tránh thất thoát tài chính.




